Raptor怎么判断一个数是否能被7整除?

想要判断一个数被另一个数整除与否的效果,该怎么编写呢?判断一个数是否能被7整除就是判断这个数除以7是否余数为0。为0则代表能整除,今天我们就来看看使用Raptor软件编写程序的教程。
1、双击软件图标打开软件 记得保存哦 不保存后面系统也会提醒保存的

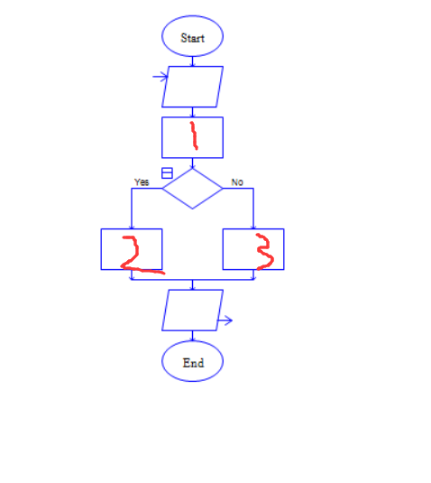
2、依次在Start和End间添加 输入 赋值 选择 赋值 赋值 输出 符号 添加完后如图所示

3、在输入框上面输入 \"please input a number of x\" 下面输入 x

4、在赋值框1上方输入 n 下方输入 x mod 7
在赋值框1上方输入 result 下方输入 \"YES\"
在赋值框1上方输入 result 下方输入 \"NO\"



5、在判断框输入 n=0

6、在输出框输入 \"The result is:\"+result 也可直接输入 result 你可以试一试这两个运行结果有何不同


7、点击上方箭头运行程序

8、我以35为例 最终结果为YES 代表35可以被7整除


以上就是Raptor判断一个数是否能被7整除的教程,希望大家喜欢,请继续关注我们。



