MathType中怎么编辑三角矩阵?
矩阵在线性代数中的最基本的知识,因此它会在线性代数贯穿始终,所以它的上镜率也会非常高。在当在文档中涉及到线性代数时必然会少不了矩阵的出现。矩阵有很多规律性的东西,这些规律性的矩阵都是一些很常见并常用的矩阵,比如三角矩阵,下面就来介绍MathType三角矩阵的编辑方法。


1、输入方括号后,将光标放在括号中,在MathType工具栏中选择“矩阵模板”——“可变大小的矩阵或表格”。

2、在弹出的对话框中,在“行”和“列”的输入框中输入4,即建议一个4行4列的矩阵,其它进行默认,点击“确定”按钮“就可以了。

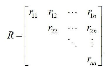
3、在出现的4行4列矩阵中进行相应的元素输入。元素的下标就使用下标模板或者快捷键“Ctrl+L”,省略号的地方直接点击MathType小标签栏中的省略号就可以,或者也可以使用“椭圆和空格模板”中的省略号,两种方法都可以,不过在小标签栏中直接点击会比较快一点。

4、将有元素的部分输入完成后,直接将公式复制粘贴到文档的相应部分就可以,或者直接将软件关闭的时候选择将公式保存,公式也会出现在文档中的相应位置,这时你在文档中会发现在MathType矩阵中没有输入元素的虚框,在文档中会直接以空白显示,而不会出现我们在MathType中的虚框。

注意事项:
上面只介绍了上三角矩阵的输入方法,其实下三角矩阵的输入方法是相同的,很多人纠结的问题是那些在MathType中看得见的空白虚框要怎么要删去才好。



