Raptor怎么判断一个年份是不是闰年?
想要判断年份是不是闰年,4年一润,100年不润,400年再润。那么用算法表示的话应该怎么表示呢?其实这之间涉及到了逻辑中的 与、或。,下面我们就来看看Raptor判断年份是不是闰年的教程。
一、编程
1、双击软件图标打开软件

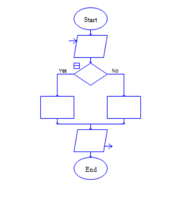
2、依次在 Start 和 End之间添加 输出 选择 赋值 赋值 输出 符号。添加完后如图所示

3、双击输出框,在上方输入\"input a number\" 下方输入 x

4、双击判断框 输入 x mod 4=0 and x mod 100!=0 or x mod 400=0

5、在左侧输入框上方输入 result 下方输入 \"YES\",在右侧输入框上方输入 result 下方输入 \"NO\"


6、双击输出框 输入 result 完成程序框图的设计 最后如图所示

二、运行流程
1、点击上方小箭头运行程序

2、我以2000年为例 输入2000 最终结果为 YES


以上就是Raptor判断年份是不是闰年的编写方法,希望大家喜欢,请继续关注我们。



