Raptor怎么判断一个数据是否为整数?
Raptor编写小程序很简单,想要实现判断数据是否为整数,该怎么编写呢?下面我们就来看看详细的教程。
一、编程
1、双击软件图标,打开软件。记得先保存,不保存也没事后面系统也会提示保存


2、会看到已经有Start 和End了 在这两个之间依次添加输入 赋值 选择 赋值 赋值 输出 符号。添加完后如下图所示

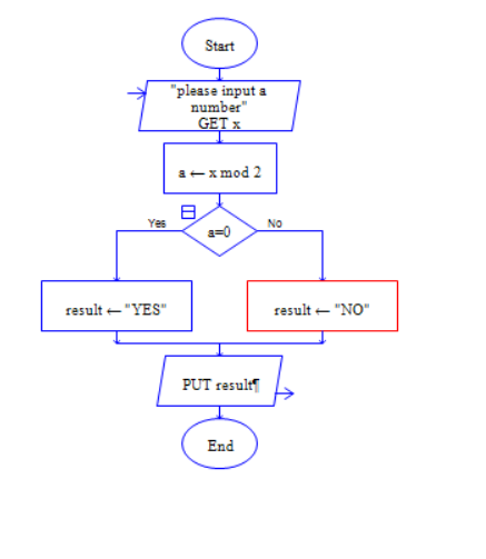
3、双击输入框 在输入框上方输入 \"please input a number\",下方输入 x

4、双击选择框 在选择框输入 a=0

5、双击赋值框1 在上方输入 a 下方输入x mod 2,双击赋值框2 在上方输入 result 下方输入 \"YES\",双击赋值框3 在上方输入 result 下方输入 \"NO\"



6、双击输出框输入 result 最终结果如下图


二、运行流程图
点击上方箭头图标,我以8为例运行 最终输出结果为 YES



以上就是Raptor判断一个数是否为整数的教程,希望大家喜欢,请继续关注我们。



