在ChemDraw中绘制透视图形的图文教程
作为一款专业的化学绘图软件工具,ChemDraw可以绘制十分复杂抽象的物质结构图形,因此在化学、药物学中得到普遍的应用。那么如何用ChemDraw绘制透视图形呢?下面通过举例画霍沃思(Haworth)D-葡萄糖结构透视图来进行讲解。(参考ChemDraw中文官网)
1、
绘制实例之前先进行以下操作:
(1)从文件菜单选择New document。
(2)从文件菜单选择Save as,出现存储对话框。
(3)在对话框的文件名框中,输入tul5.cdx。
(4)选择存储格式,在其中存储文件。
(5)单击OK按钮。
2、以下是实例指导操作步骤:
1、建立和定位一个环己烷环
(1)在工具板上选择环己烷环工具。
(2)在文件窗口单击建立一个环。
(3)按Ctrl+Alt+Tab键,将自动选择最后绘制的结构图,见图左。
(4)在选择方框的右上角出现弯曲双箭头光标(称旋转柄),表明选择工具在进行旋转模式的操作。
(5)按动旋转柄向右下方旋转30度(在Messages area中检查)。
(6)在虚框外单击,使虚框消失。
【注意】尽管Fixed Angles命令是打开的,但角度是不受限制的。此命令仅仅在建立时起作用。

2.定位环上的氧原子
(1)在环己烷环右上角原子点处定位。
(2)按快捷键O。

3、添加垂直键
(1)在氧下面的C1定位,见图左。
(2)向上按动建立一个向上的键,见图左二。
(3)在C1再次定位,向下按动建立一个向下的键,见图中。
(4)重复以上操作,在图2右二中的箭头处建立上、下垂直键。见图右。
【注意】在C5处进行Alt+向下按动操作,在C3键端距C5一半处停止。当不用fixed length命令而利用快捷键时,不需要关闭Fixed Lengths命令。

4、把结构图形转变成沿Z轴的透视图形
(1)在工具板上选择套索工具。
(2)在右下角的调整柄处,按Alt键,见图左。
(3)向上按动直到结构乖直缩小50%,见图右。

5、建立OH原子标记
(1)选择单键工具,在结构右面向下键端原子处定位,见图左一.
(2)双击建立原子标记框,图左二.
(3)输入OH。
(4)在图右二箭头处单击,OH原子标记重复出现,见图右一。

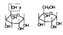
6、建立CH2OH标记
(1)在C5向上键端三击,建立OH 。
(2)按回车键建立原子标记框,见下图左。
(3)在OH前输入CH2标记,见下图右。
【注意】回车快捷键所打开的原子标记框只对最后标记的原子起作用,此定义不能改变。

7、变化前面键的形状
(1)在工具板上选择黑体键。
(2)单击底键的中心,变为黑体键,见下图左。
(3)在工具板上选择黑体楔键,单击下部两侧键的中心,此时两单键变为两黑体楔键,见下图右。
【注意】如果两楔键的方向是错误的,只要在中心处重新单击即可。

8、最后的工作
(1)用阴影框框起图形。
(2)从文件莱单选择Save命令。
(3)从文件菜单选择Close命令。



